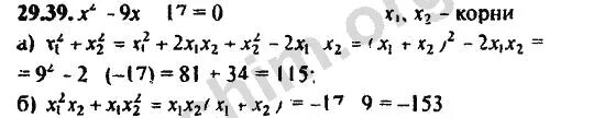
Корень из 153