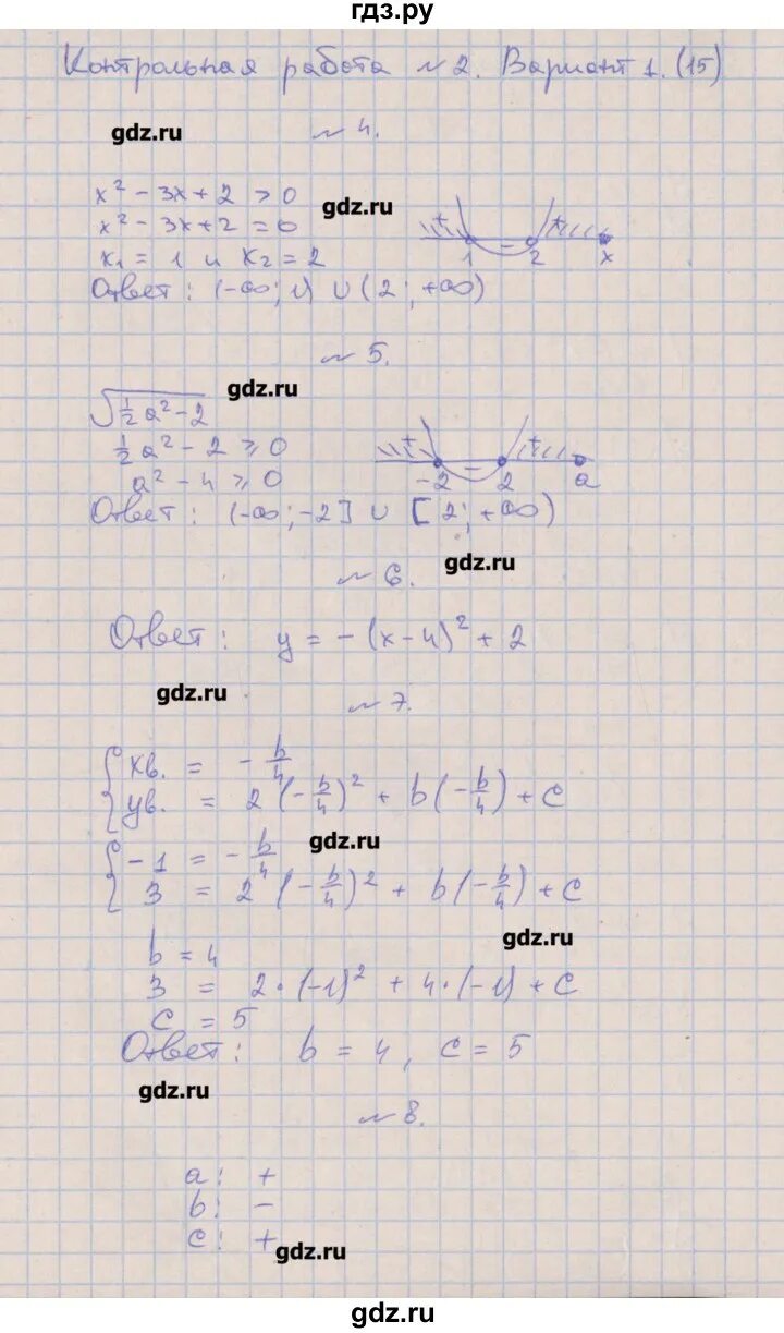
Контрольные работы по алгебре 9 по дорофееву