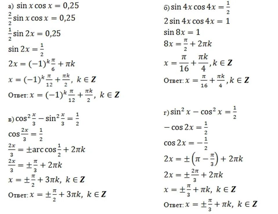
Контрольная работа по теме начала тригонометрии 8