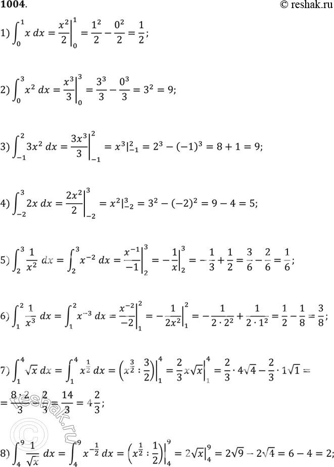
Контрольная по теме интеграл 11 класс