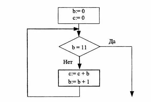
Контрольная по теме алгоритмы