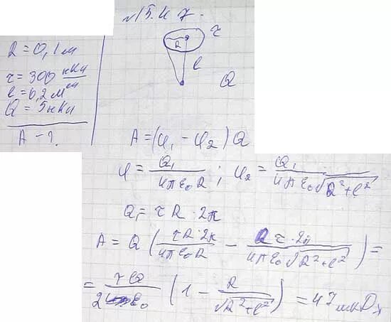
Кольцо равномерно заряжено