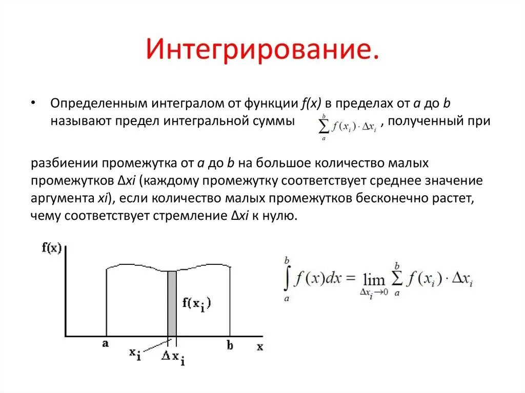
Классы интегрируемой функции