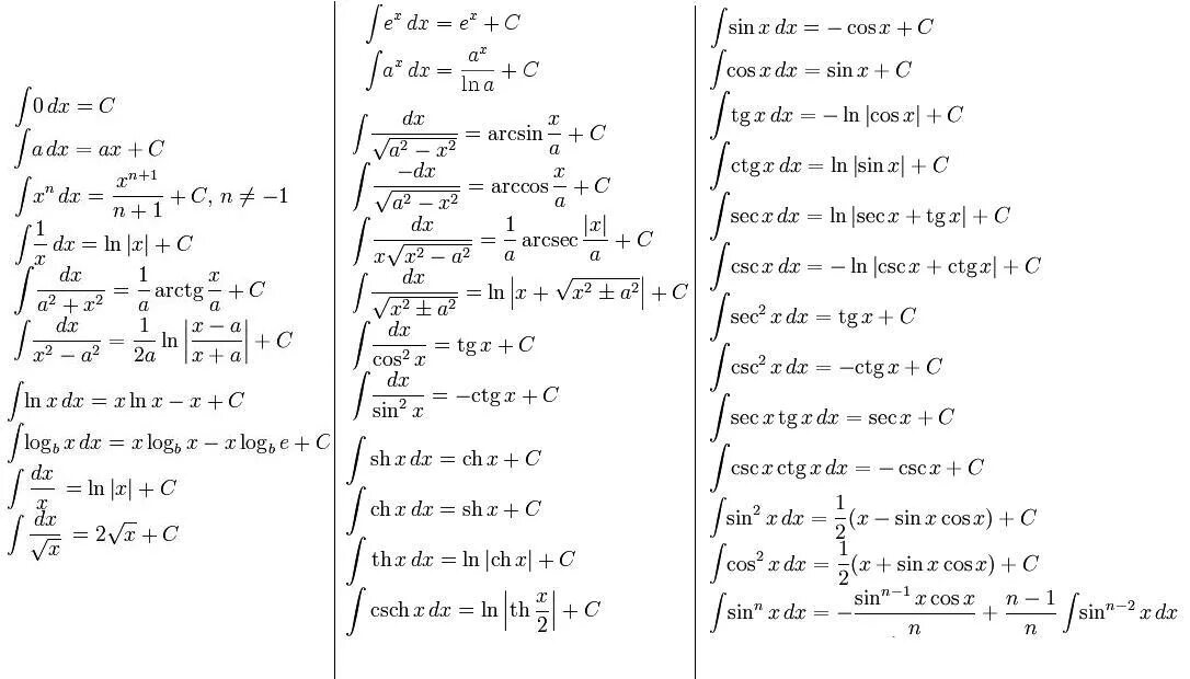
Калькулятор первообразной функции