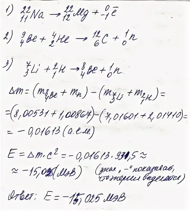
Каков состав ядер натрия 22 11