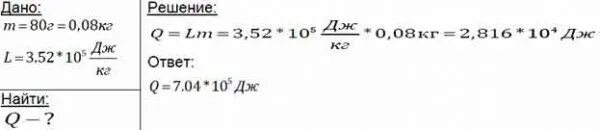
Какое количество теплоты потребуется для обращения