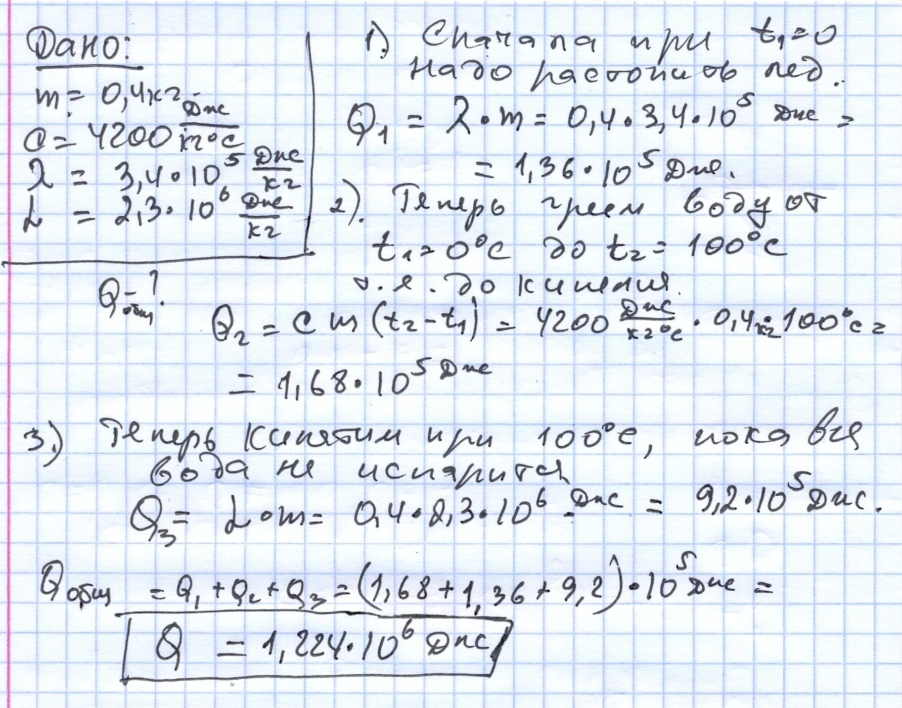
Какое количество теплоты получит лед массой