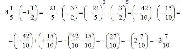
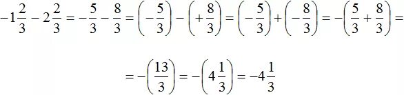
Как вычитать отрицательные дроби