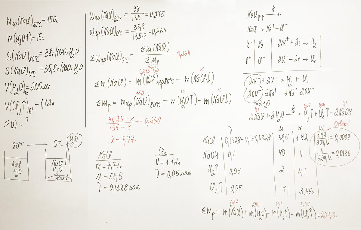
Как решать 22 задание огэ по химии