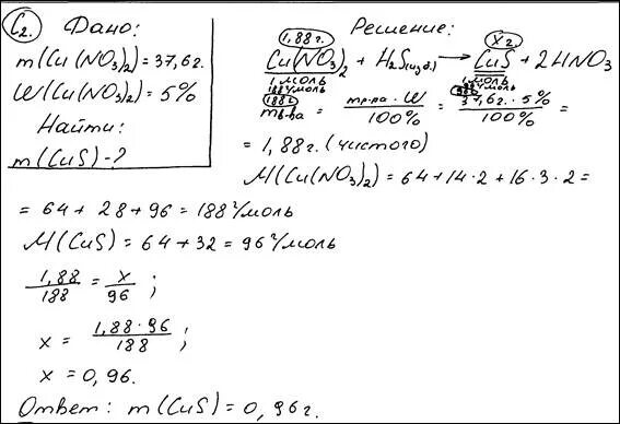
Как решать 21 задание химия