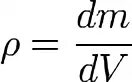
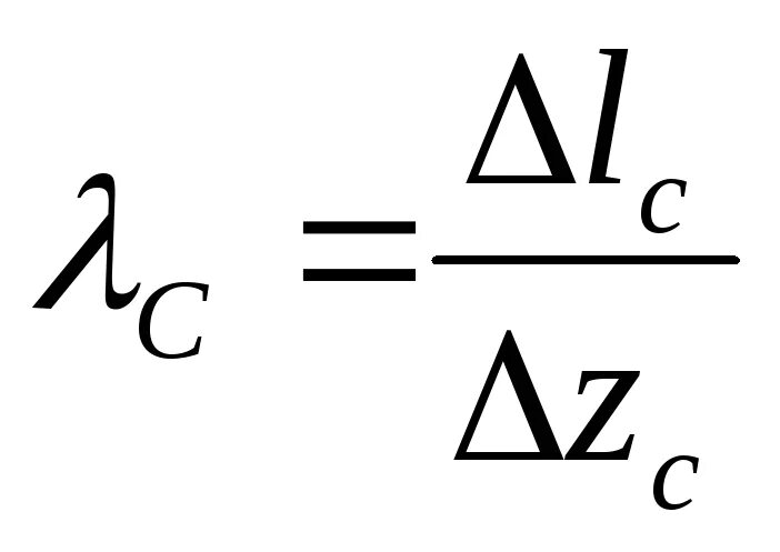
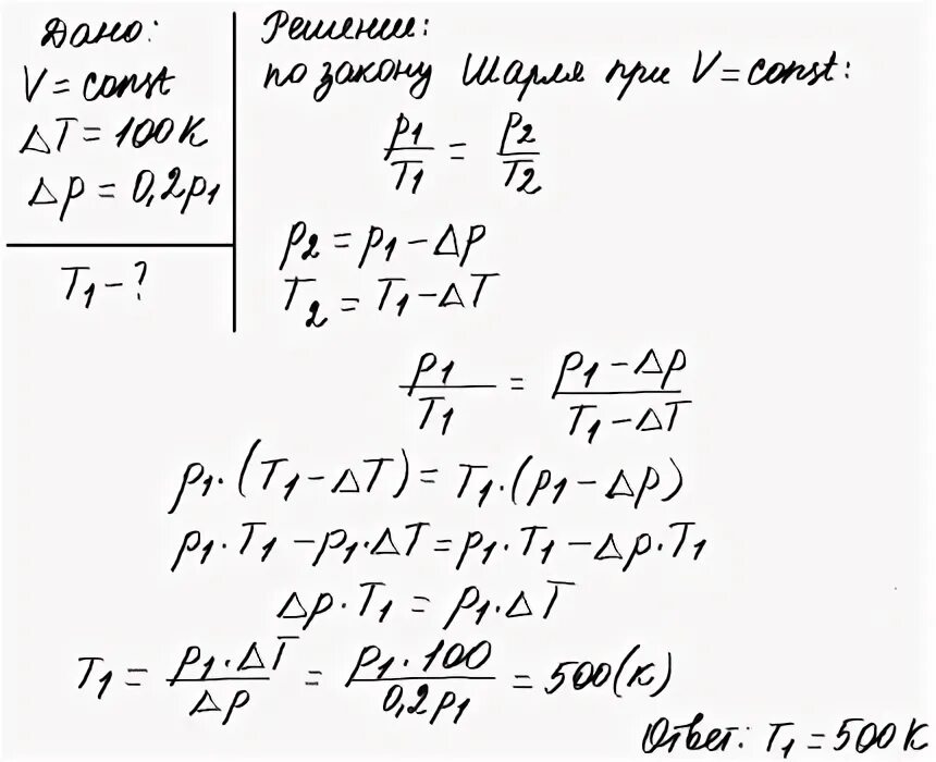
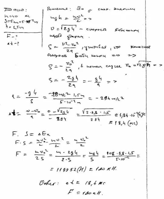
Как найти дельту в физике