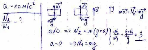
Как и во сколько раз изменится ускорение