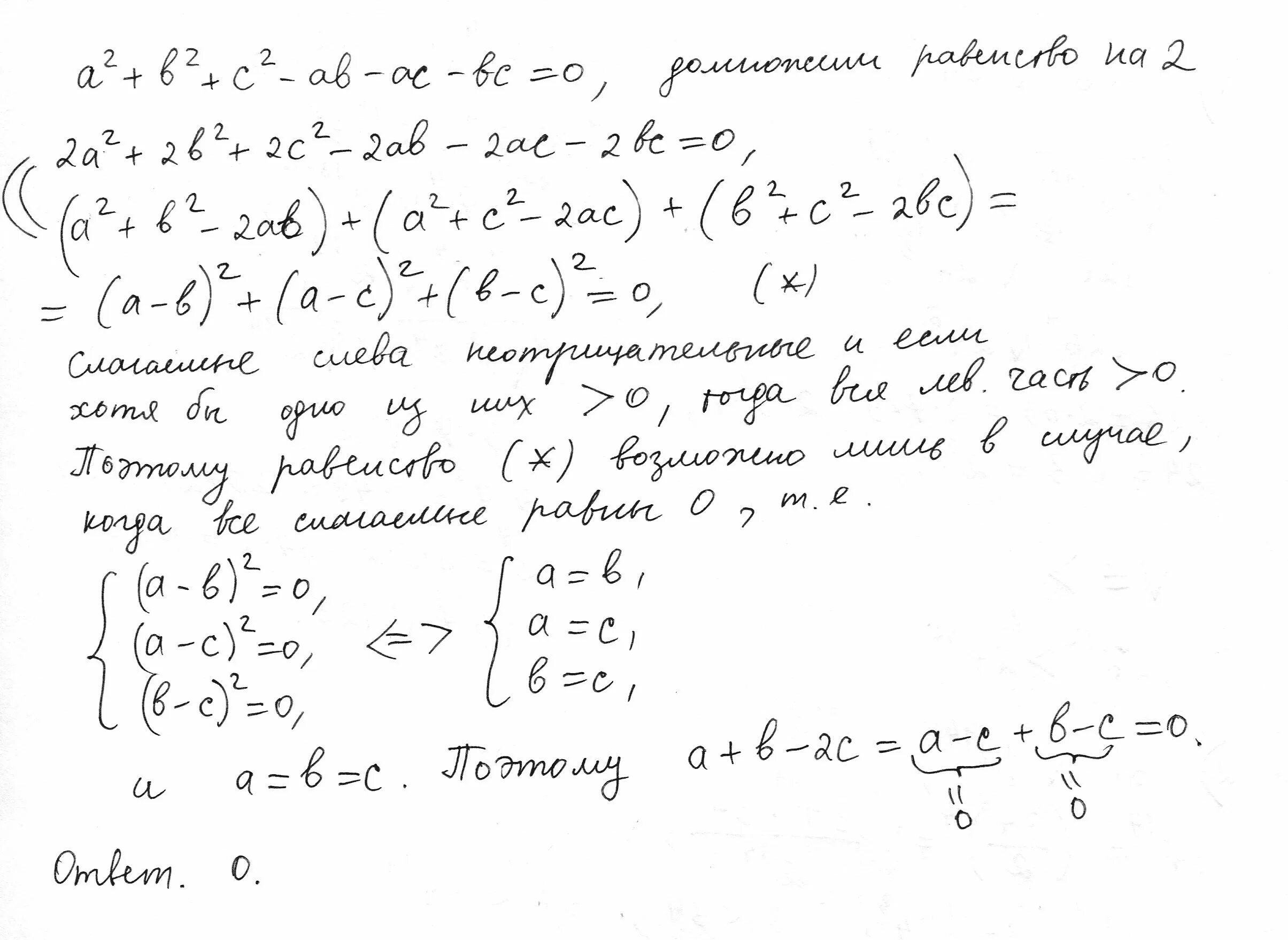
Известно что a b 1