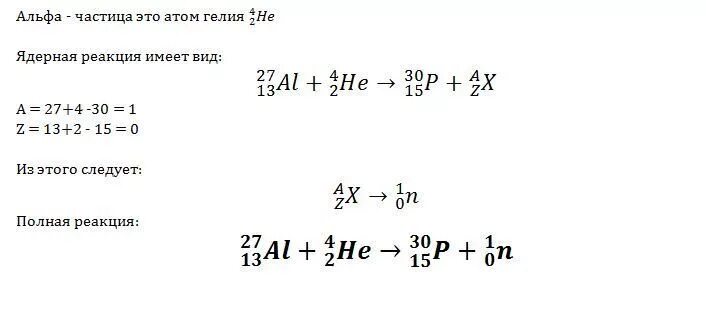
Изотоп фосфора образуется при бомбардировке