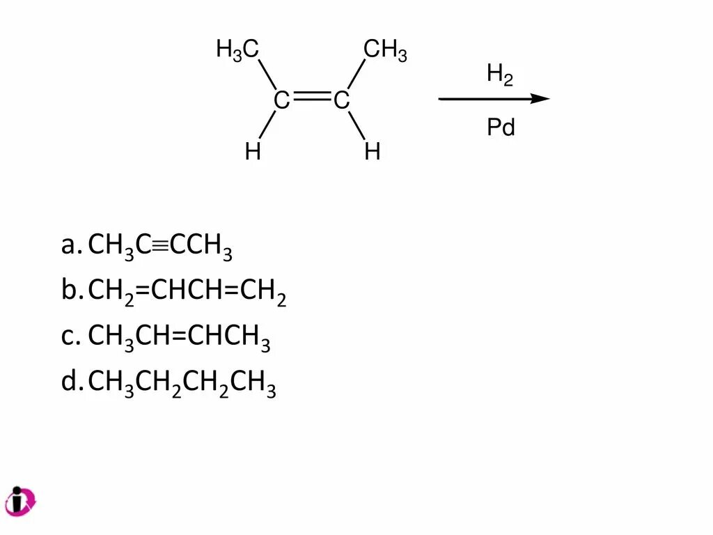
Из c2h2 получить ch3