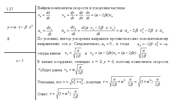
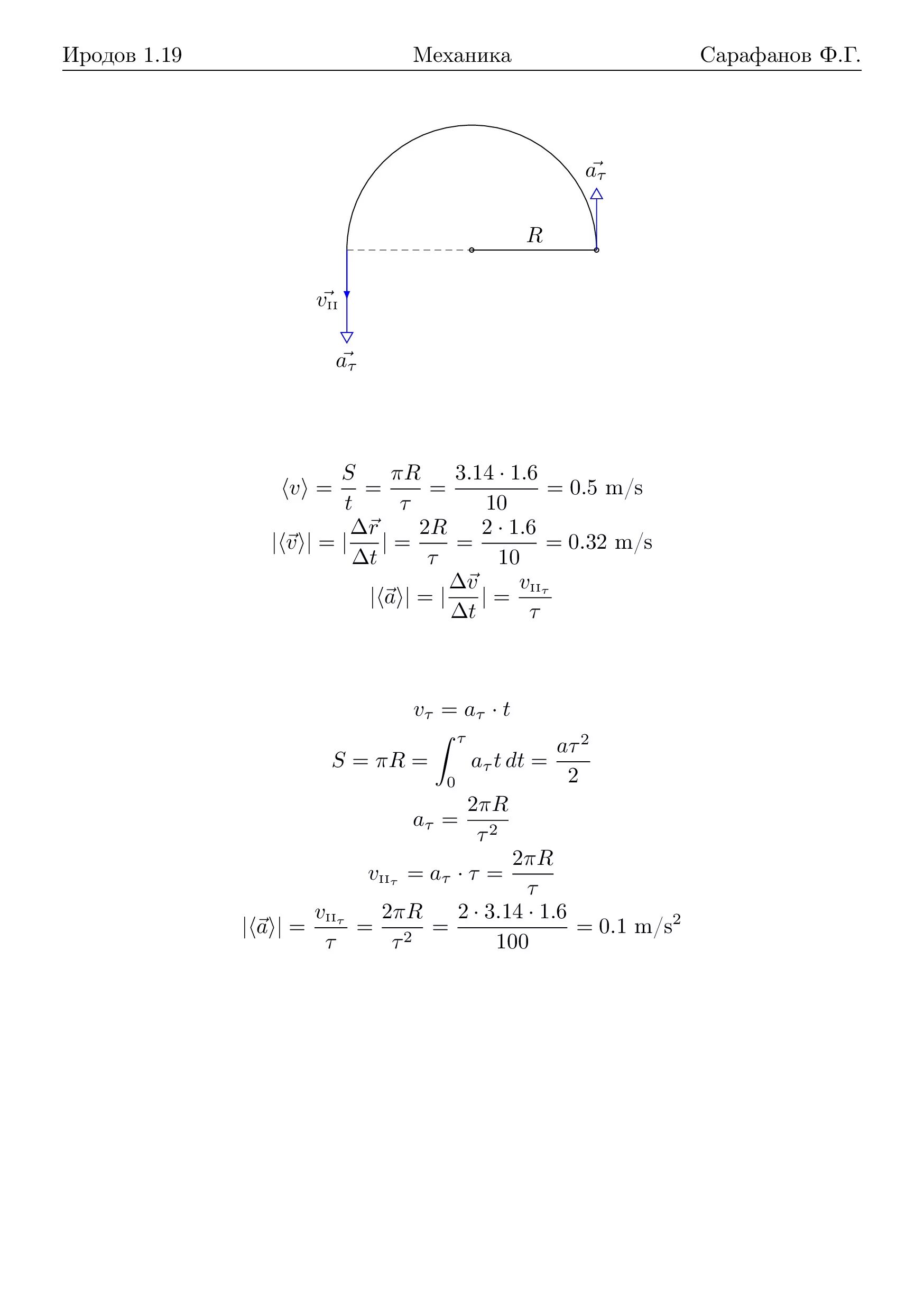
Иродов задачник по физике решебник