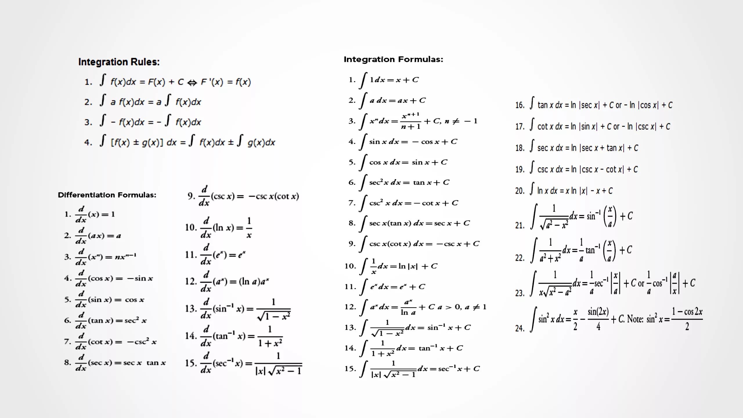
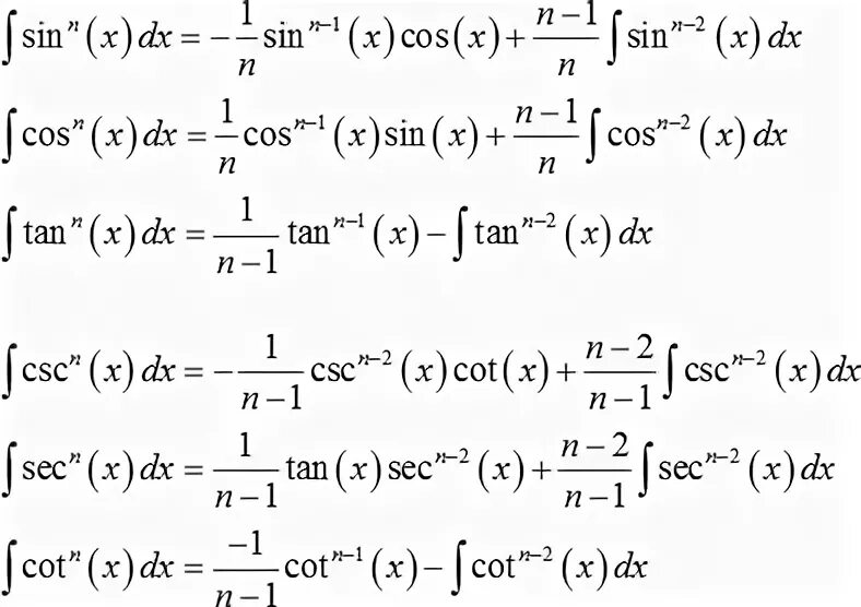
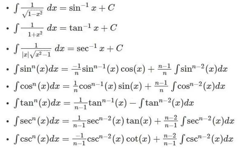
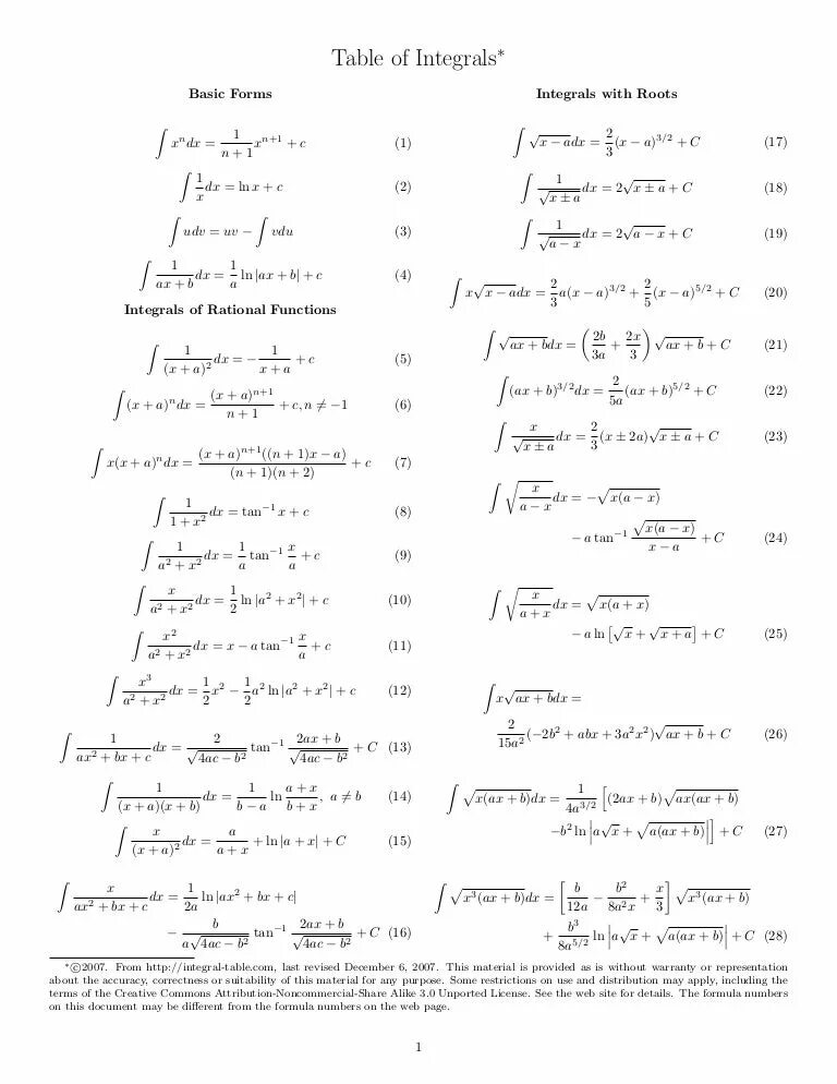
Integration pdf