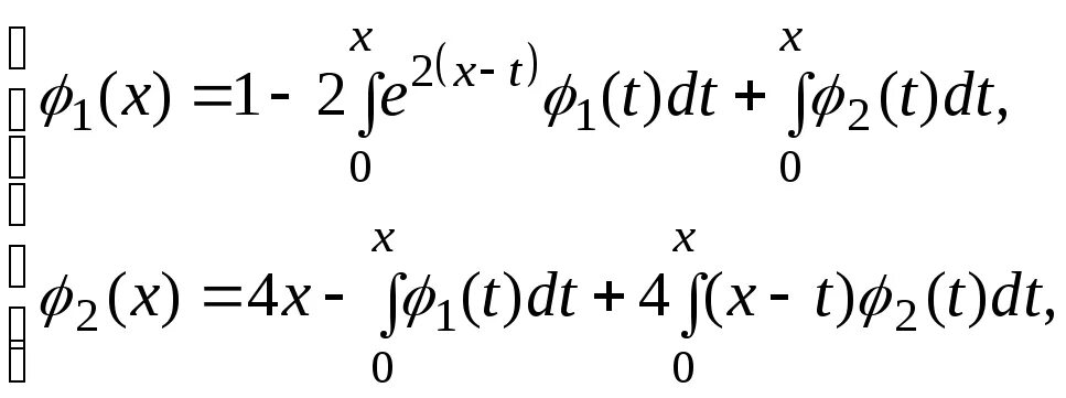
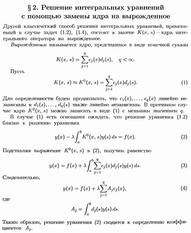
Интегральные уравнения примеры