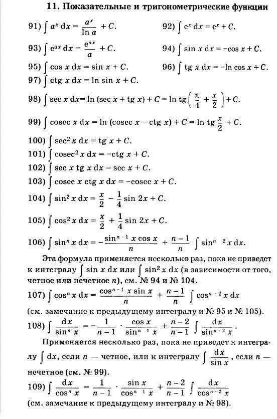
Интеграл функции формула