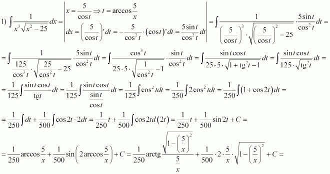
Интеграл 1 x3