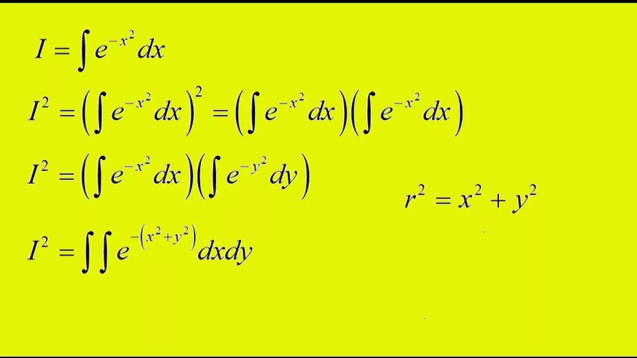
Int e x 2