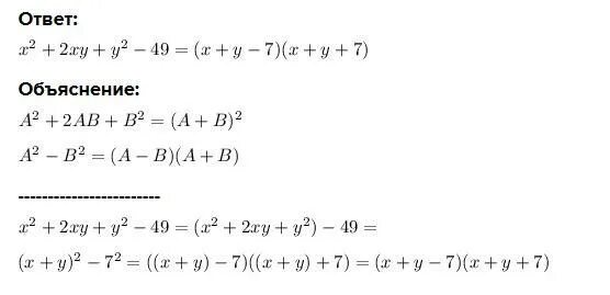
Ху у2 8х 4х