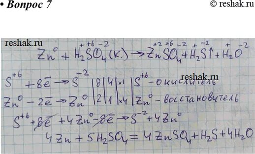
H2so4 zn s h2o