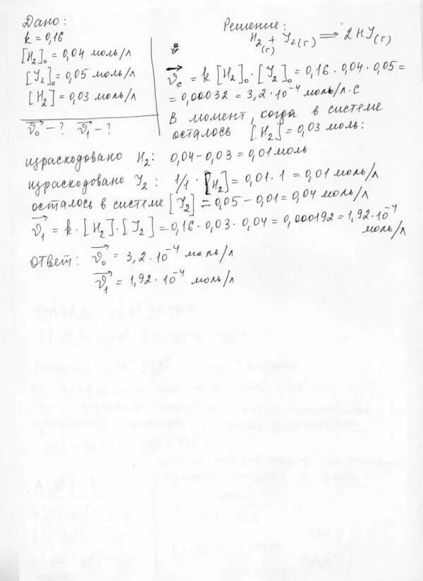
H2 i2 скорость реакции