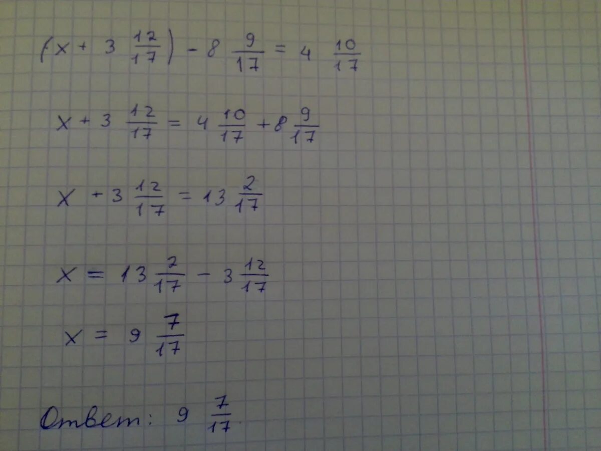
Х 17 10 17 найти х