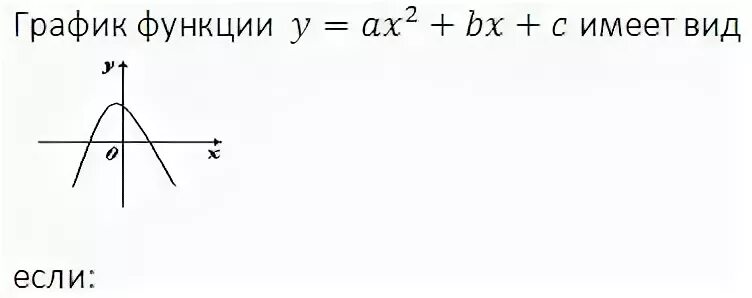
График функции ax 17