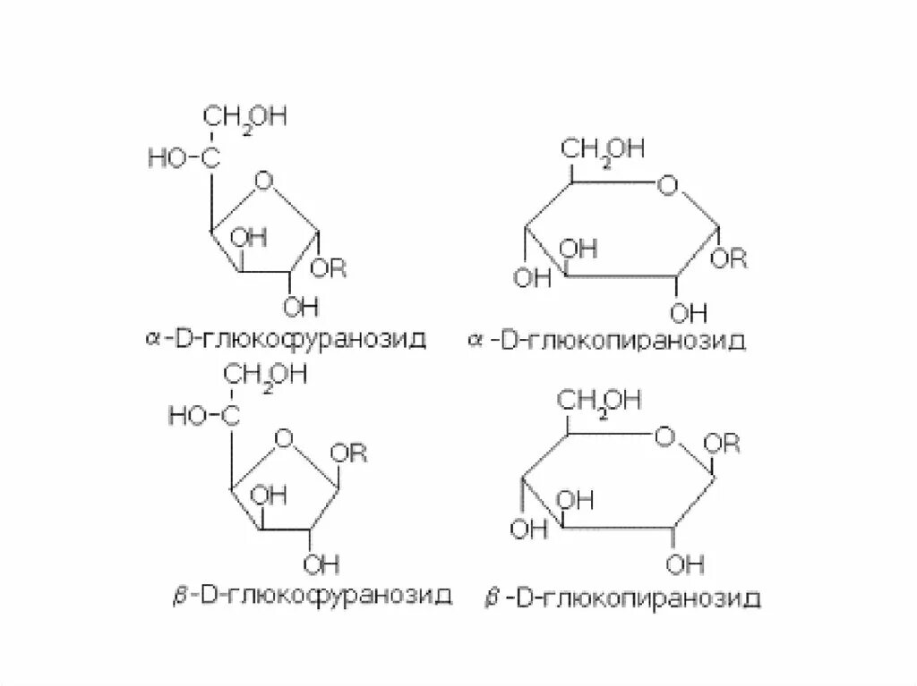
Гликозиды образуются по реакции