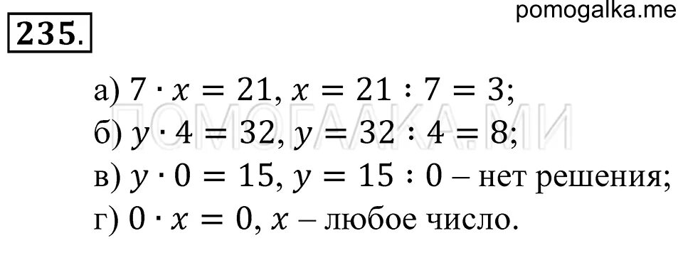
Геометрия страница 71 номер 235