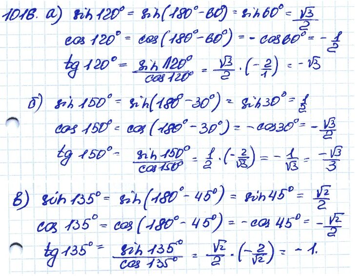
Геометрия 9 класс атанасян 2016