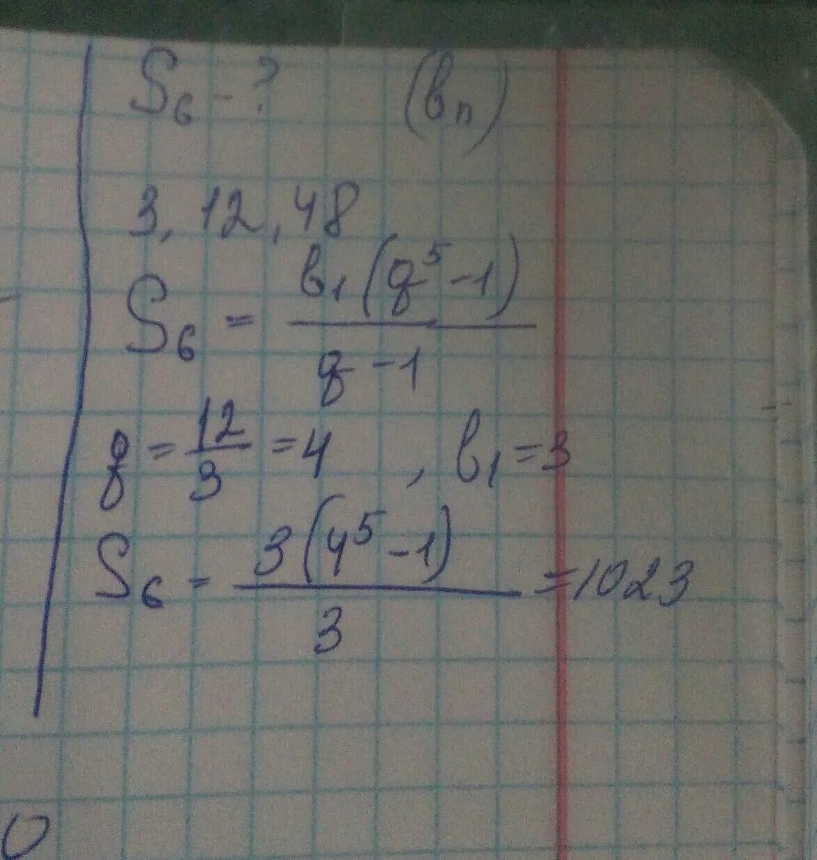
Геометрическую прогрессию 3 48