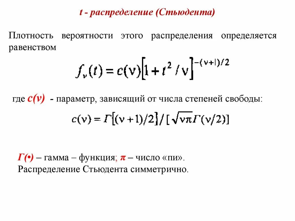
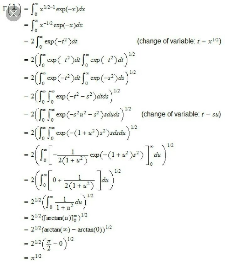
Гамма функция интеграл