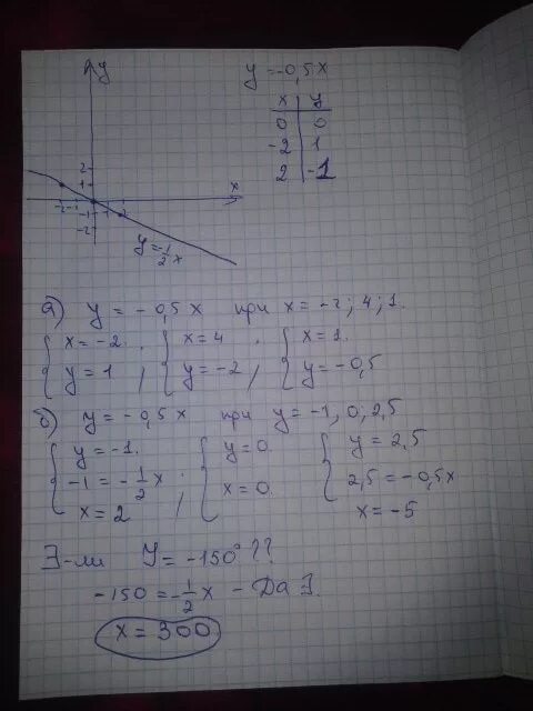
Функция заданной формулой y 4x 2