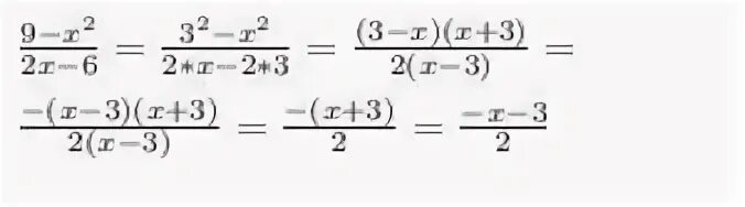
Frac 1 4 x 2 2x 3