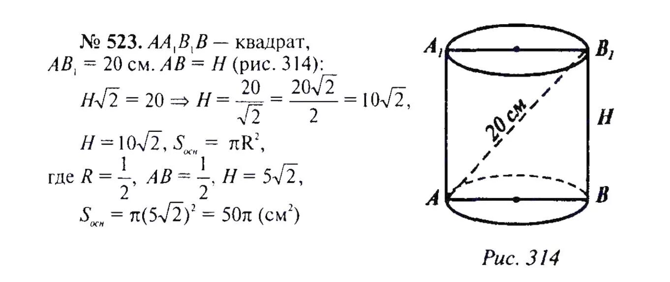
Формулы цилиндра 11 класс