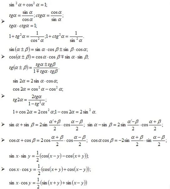
Формулировка синусов и косинусов