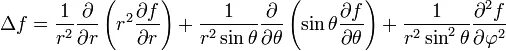
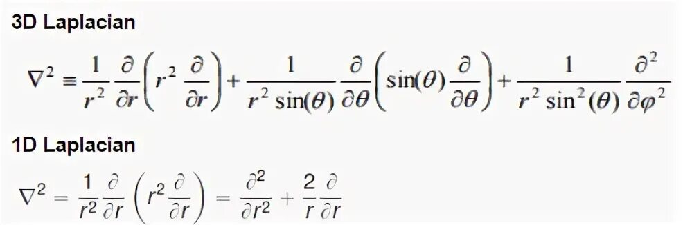
Формула вычисления лапласиана в тороидальных