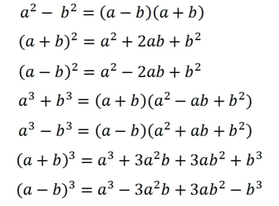
Формула умножения функции