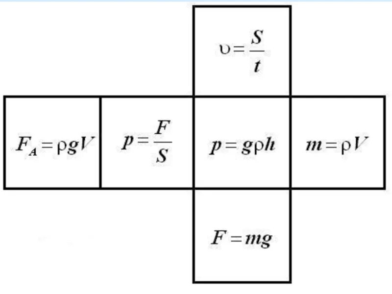
Формула h в физике 7