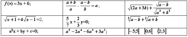
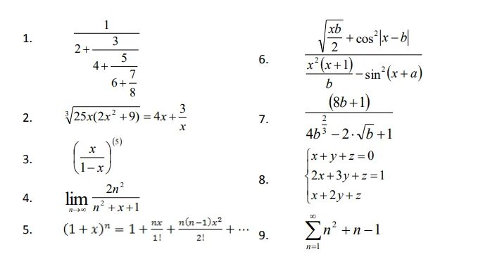
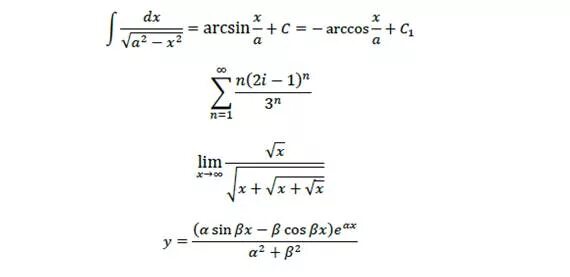
Формула документ