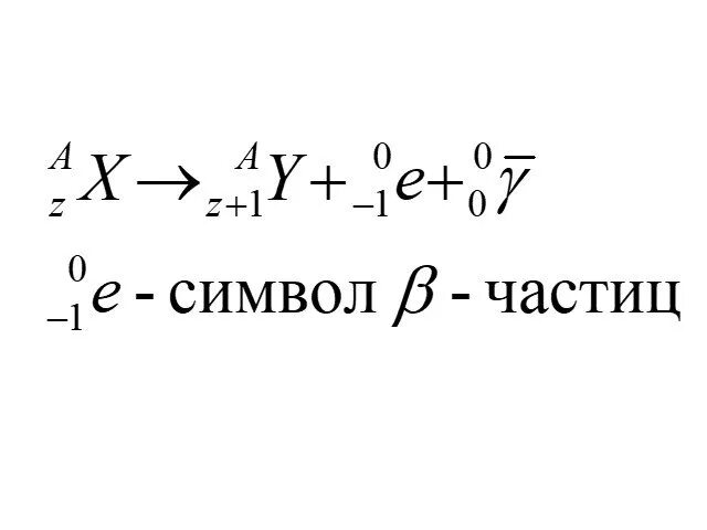
Формула альфа и бета распада