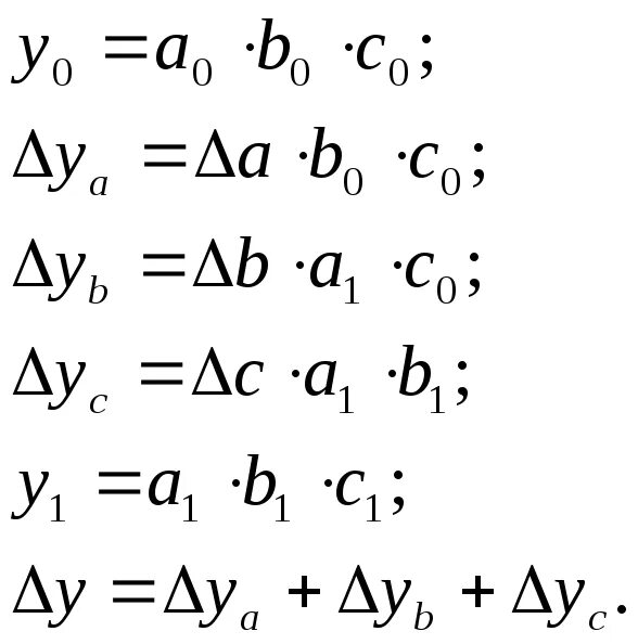
Формула абсолютных разниц