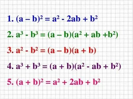
Формула а55