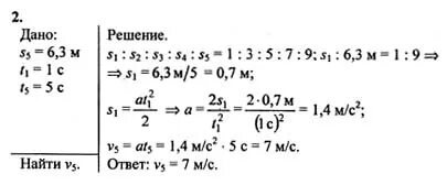
Физика 9 класс упр 7 номер 3