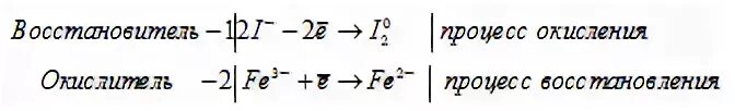
Feso4 br2 h2o