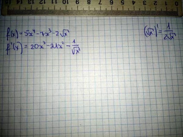
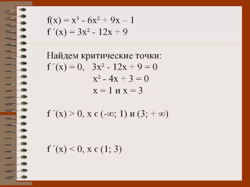
F x 6x 3 2x 7