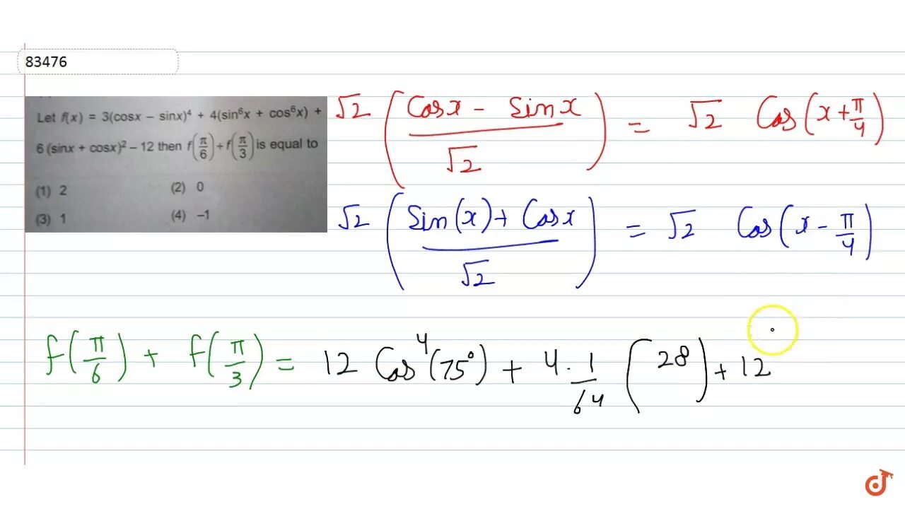
F pi 3